学校主页
学院首页
学院概况
学院简介
现任领导
星空体育app平台登录官网
历史沿革
杰出校友
师资队伍
教授名录
系部师资
教授
副教授
讲师
实验系列及行...
科学研究
科研动态
研究平台
学科团队
研究成果
教育教学
教学动态
本科生教育
专业介绍
培养方案
管理制度
研究生教育
学科专业
培养方案
导师名录
招生专栏
管理制度
党群工作
党建动态
组织机构
党建制度
工会工作
学生工作
团学活动
学工动态
思政工作
招聘信息
毕业生信息
管理制度
机电讲堂
机电讲堂
常用下载
本科生常用下...
研究生常用下...
导航
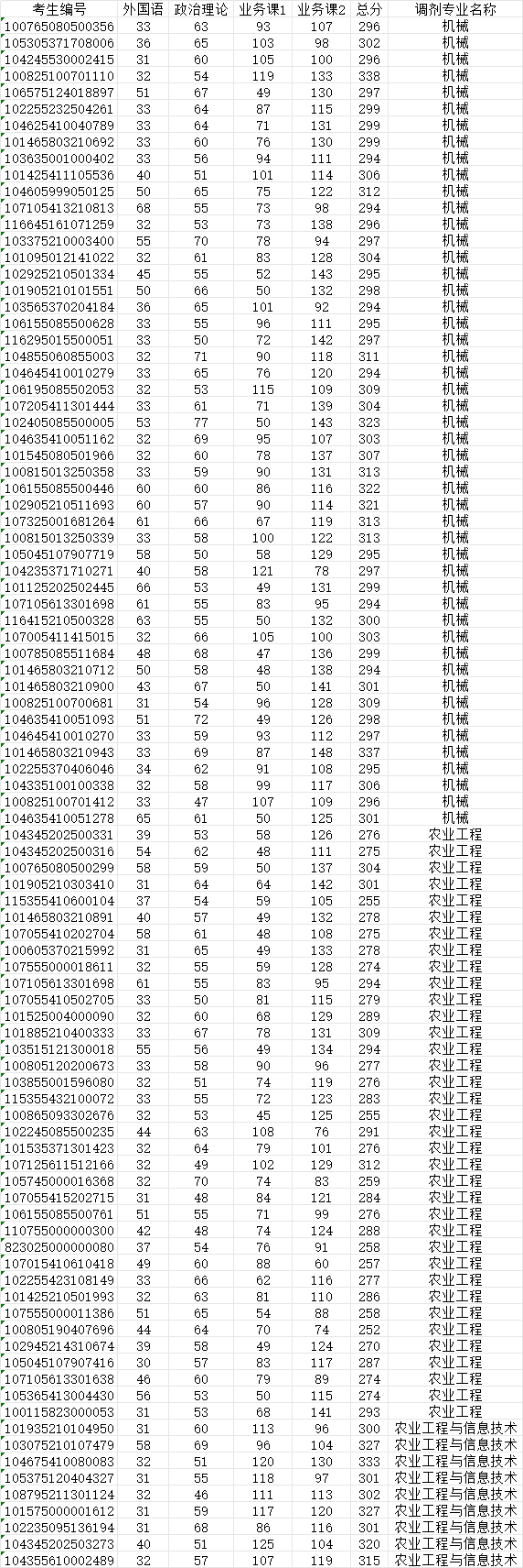
2025年硕士研究生调剂复试发送通知清单
发布者:伊力达尔·伊力亚斯
发布时间:2025-04-08
浏览次数:
1309
map